Официальное опубликование правовых актов
ОФИЦИАЛЬНОЕ ОПУБЛИКОВАНИЕ
Приказ Департамента архитектуры и градостроительства Воронежской области от 06.06.2023 № 45-01-04/463
"О внесении изменений в правила землепользования и застройки Гришевского сельского поселения Подгоренского муниципального района Воронежской области"
(Зарегистрирован 20.06.2023 № 670)
Номер опубликования: 3601202306220003
Дата опубликования: 22.06.2023
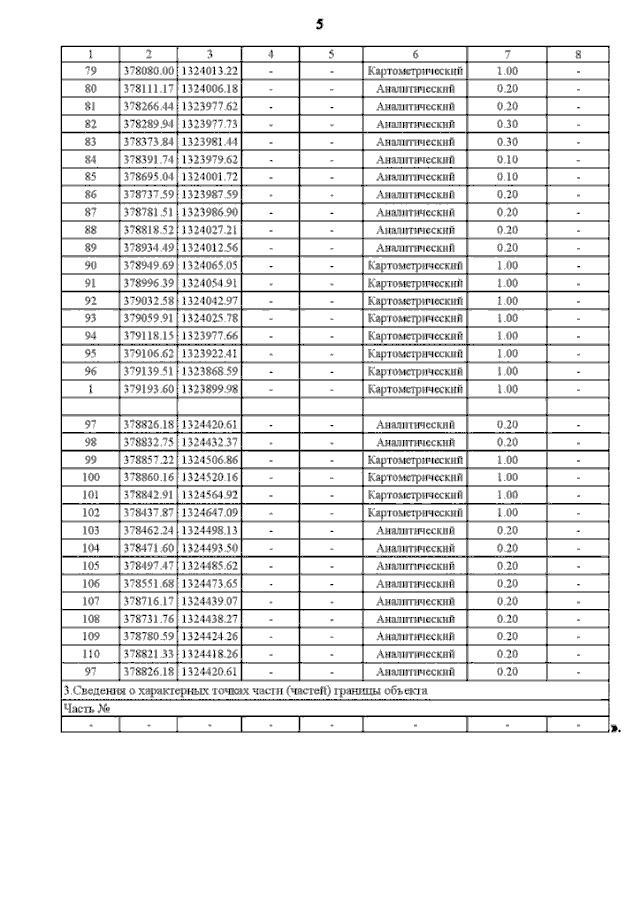
Страница №36 из 41:
Увеличить