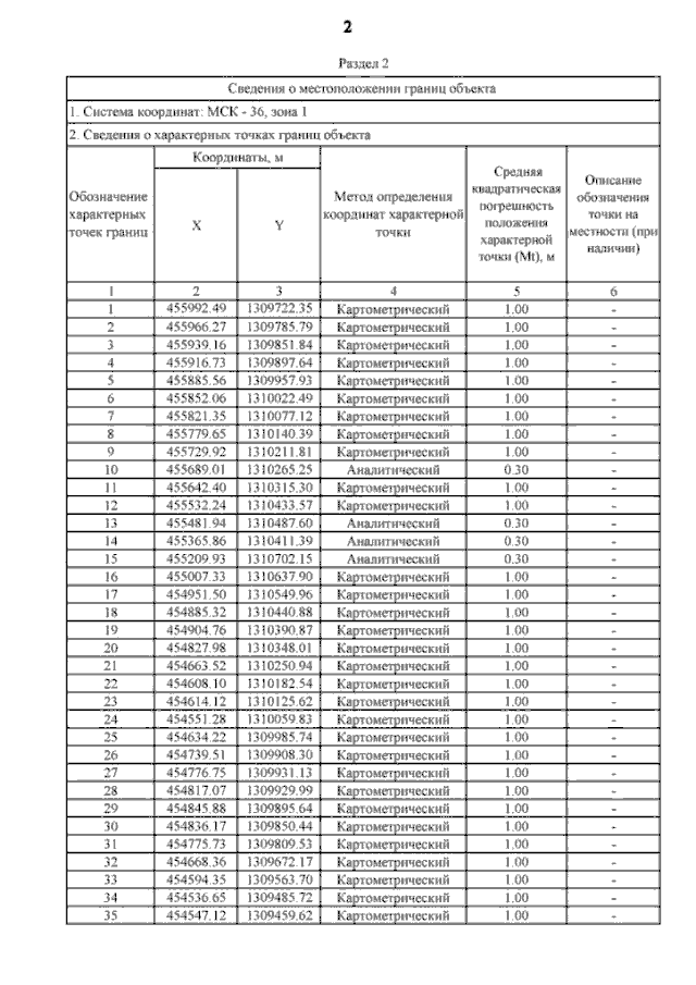
Приказ Департамента архитектуры и градостроительства Воронежской области от 06.06.2023 № 45-01-04/460
"О внесении изменений в правила землепользования и застройки Бодеевского сельского поселения Лискинского муниципального района Воронежской области"
(Зарегистрирован 20.06.2023 № 669)
"О внесении изменений в правила землепользования и застройки Бодеевского сельского поселения Лискинского муниципального района Воронежской области"
(Зарегистрирован 20.06.2023 № 669)
Номер опубликования: 3601202306220002
Дата опубликования:
22.06.2023
