Официальное опубликование правовых актов
ОФИЦИАЛЬНОЕ ОПУБЛИКОВАНИЕ
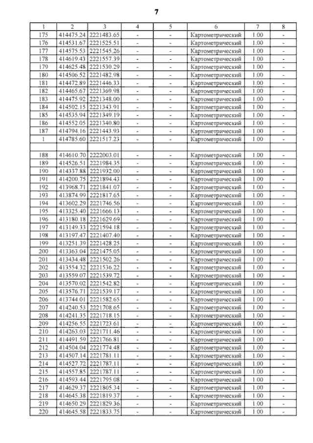
Приказ Департамента архитектуры и градостроительства Воронежской области от 06.06.2023 № 45-01-04/459
"О внесении изменений в правила землепользования и застройки Берёзовского сельского поселения Воробьёвского муниципального района Воронежской области"
(Зарегистрирован 14.06.2023 № 646)
Номер опубликования: 3601202306190007
Дата опубликования: 19.06.2023
Страница №45 из 106:
Увеличить