Официальное опубликование правовых актов
ОФИЦИАЛЬНОЕ ОПУБЛИКОВАНИЕ
Приказ Департамента архитектуры и градостроительства Воронежской области от 02.06.2023 № 45-01-04/435
"О внесении изменений в правила землепользования и застройки Покровского сельского поселения Павловского муниципального района Воронежской области"
(Зарегистрирован 14.06.2023 № 654)
Номер опубликования: 3601202306190005
Дата опубликования: 19.06.2023
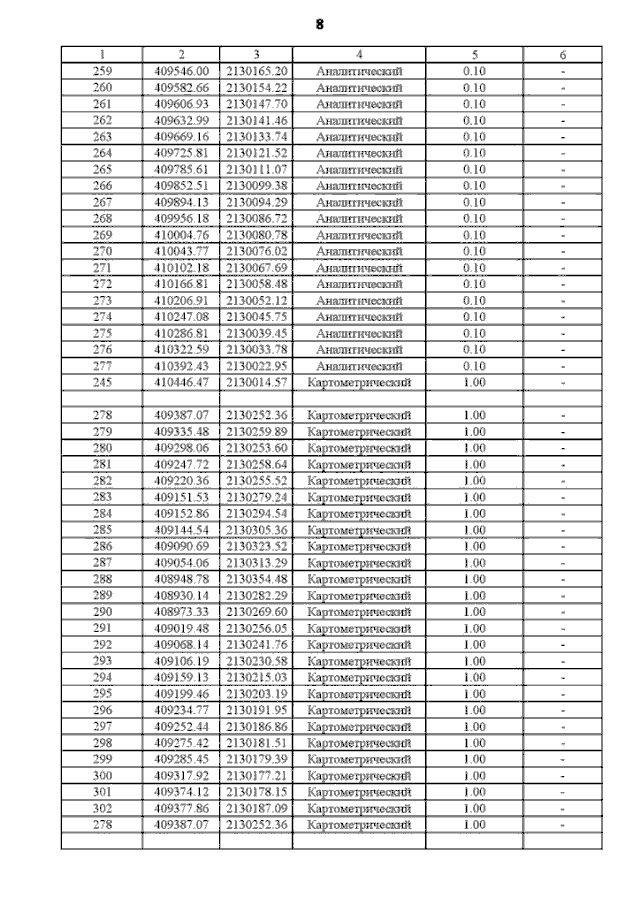
Страница №44 из 92:
Увеличить