Официальное опубликование правовых актов
ОФИЦИАЛЬНОЕ ОПУБЛИКОВАНИЕ
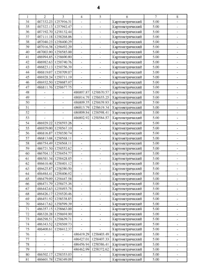
Приказ Департамента архитектуры и градостроительства Воронежской области от 02.06.2023 № 45-01-04/431
"О внесении изменений в правила землепользования и застройки Михневского сельского поселения Нижнедевицкого муниципального района Воронежской области"
(Зарегистрирован 14.06.2023 № 644)
Номер опубликования: 3601202306150005
Дата опубликования: 15.06.2023
Страница №18 из 30:
Увеличить