Официальное опубликование правовых актов
ОФИЦИАЛЬНОЕ ОПУБЛИКОВАНИЕ
Приказ Департамента архитектуры и градостроительства Воронежской области от 17.05.2023 № 45-01-04/369
"О внесении изменений в правила землепользования и застройки Круглянского сельского поселения Каширского муниципального района Воронежской области"
(Зарегистрирован 30.05.2023 № 563)
Номер опубликования: 3601202306060014
Дата опубликования: 06.06.2023
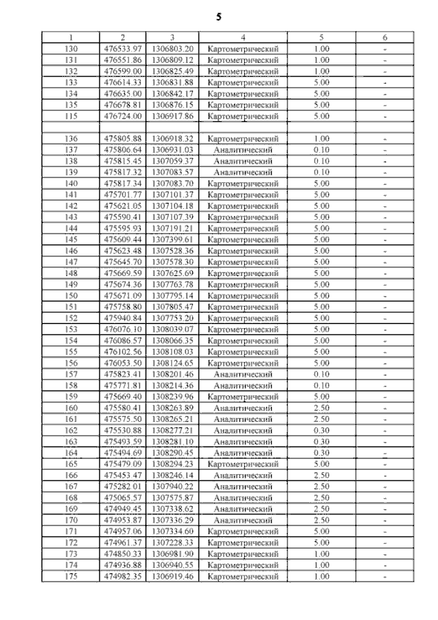
Страница №13 из 33:
Увеличить