Официальное опубликование правовых актов
ОФИЦИАЛЬНОЕ ОПУБЛИКОВАНИЕ
Приказ Департамента архитектуры и градостроительства Воронежской области от 17.05.2023 № 45-01-04/366
"О внесении изменений в правила землепользования и застройки Верхнеикорецкого сельского поселения Бобровского муниципального района Воронежской области"
(Зарегистрирован 29.05.2023 № 542)
Номер опубликования: 3601202306060013
Дата опубликования: 06.06.2023
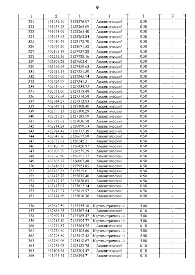
Страница №17 из 33:
Увеличить