Официальное опубликование правовых актов
ОФИЦИАЛЬНОЕ ОПУБЛИКОВАНИЕ
Приказ Департамента архитектуры и градостроительства Воронежской области от 17.05.2023 № 45-01-04/365
"О внесении изменений в правила землепользования и застройки Александровского сельского поселения Павловского муниципального района Воронежской области"
(Зарегистрирован 30.05.2023 № 561)
Номер опубликования: 3601202306060003
Дата опубликования: 06.06.2023
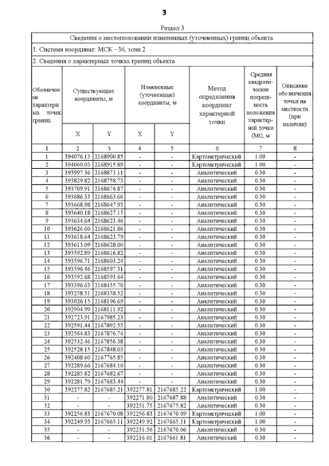
Страница №11 из 25:
Увеличить