Официальное опубликование правовых актов
ОФИЦИАЛЬНОЕ ОПУБЛИКОВАНИЕ
Приказ Департамента архитектуры и градостроительства Воронежской области от 12.05.2023 № 45-01-04/346
"Об утверждении правил землепользования и застройки Старокалитвенского сельского поселения Россошанского муниципального района Воронежской области"
(Зарегистрирован 29.05.2023 № 540)
Номер опубликования: 3601202306060002
Дата опубликования: 06.06.2023
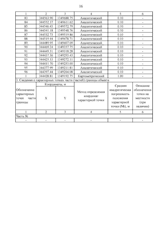
Страница №145 из 255:
Увеличить