Официальное опубликование правовых актов
ОФИЦИАЛЬНОЕ ОПУБЛИКОВАНИЕ
Приказ Департамента архитектуры и градостроительства Воронежской области от 16.05.2023 № 45-01-04/355
"Об утверждении правил землепользования и застройки Нижнекаменского сельского поселения Таловского муниципального района Воронежской области"
(Зарегистрирован 29.05.2023 № 548)
Номер опубликования: 3601202306060001
Дата опубликования: 06.06.2023
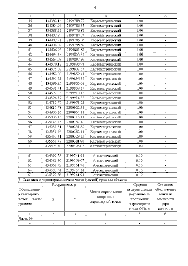
Страница №398 из 525:
Увеличить