Официальное опубликование правовых актов
ОФИЦИАЛЬНОЕ ОПУБЛИКОВАНИЕ
Приказ департамента природных ресурсов и экологии Воронежской области от 19.05.2023 № 229
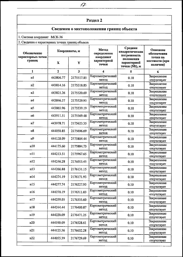
"Об установлении зон санитарной охраны проектируемой скважины № 1/20 для питьевого, хозяйственно-бытового и технологического водоснабжения ООО "Бобровский сырзавод"
(Зарегистрирован 25.05.2023 № 533)
Номер опубликования: 3601202305310014
Дата опубликования: 31.05.2023
Страница №19 из 22:
Увеличить