Официальное опубликование правовых актов
ОФИЦИАЛЬНОЕ ОПУБЛИКОВАНИЕ
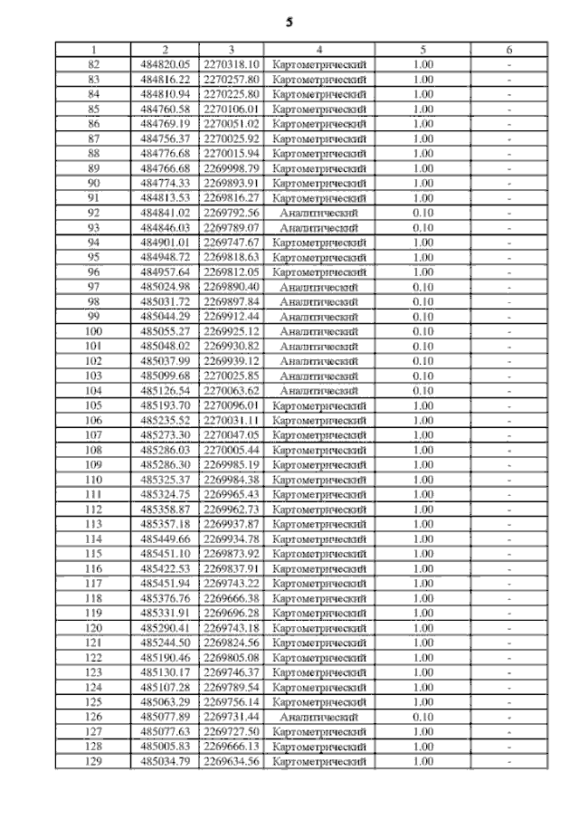
Приказ Департамента архитектуры и градостроительства Воронежской области от 05.05.2023 № 45-01-04/333
"Об утверждении правил землепользования и застройки Верхнекарачанского сельского поселения Грибановского муниципального района Воронежской области"
(Зарегистрирован 24.05.2023 № 521)
Номер опубликования: 3601202305290012
Дата опубликования: 29.05.2023
Страница №50 из 214:
Увеличить