Официальное опубликование правовых актов
ОФИЦИАЛЬНОЕ ОПУБЛИКОВАНИЕ
Приказ Департамента архитектуры и градостроительства Воронежской области от 12.05.2023 № 45-01-04/345
"Об утверждении правил землепользования и застройки городского поселения – город Богучар Богучарского муниципального района Воронежской области"
(Зарегистрирован 24.05.2023 № 523)
Номер опубликования: 3601202305290009
Дата опубликования: 29.05.2023
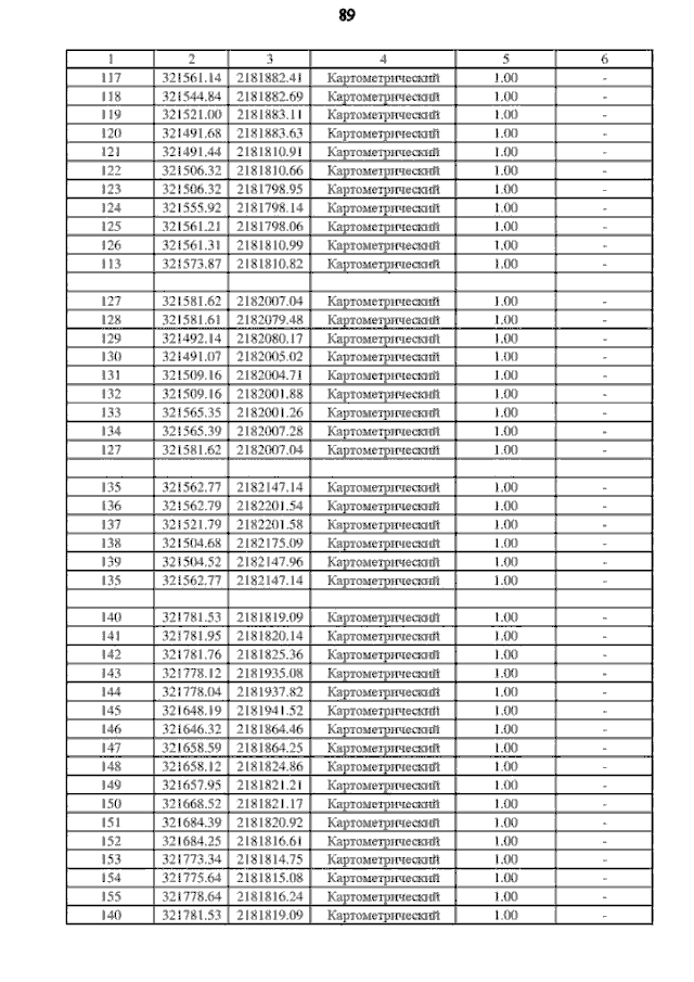
Страница №149 из 369:
Увеличить