Официальное опубликование правовых актов
ОФИЦИАЛЬНОЕ ОПУБЛИКОВАНИЕ
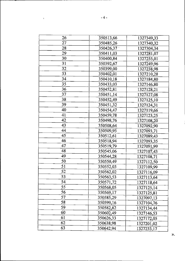
Приказ управления по охране объектов культурного наследия Воронежской области от 10.05.2023 № 71-01-07/229
"О внесении изменения в приказ управления по охране объектов культурного наследия Воронежской области от 28.11.2019 № 71-01-07/326"
(Зарегистрирован 24.05.2023 № 515)
Номер опубликования: 3601202305260012
Дата опубликования: 26.05.2023
Страница №4 из 5:
Увеличить