Официальное опубликование правовых актов
ОФИЦИАЛЬНОЕ ОПУБЛИКОВАНИЕ
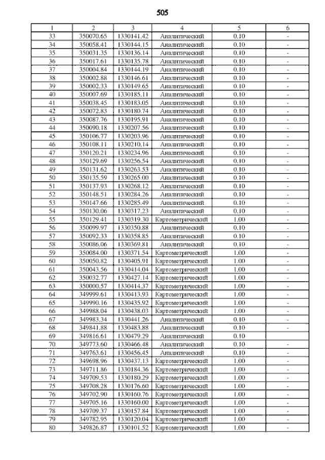
Приказ Департамента архитектуры и градостроительства Воронежской области от 05.05.2023 № 45-01-04/338
"Об утверждении правил землепользования и застройки городского поселения - город Россошь Россошанского муниципального района Воронежской области"
(Зарегистрирован 17.05.2023 № 479)
Номер опубликования: 3601202305220004
Дата опубликования: 22.05.2023
Страница №570 из 588:
Увеличить