Официальное опубликование правовых актов
ОФИЦИАЛЬНОЕ ОПУБЛИКОВАНИЕ
Приказ Департамента архитектуры и градостроительства Воронежской области от 02.05.2023 № 45-01-04/326
"Об утверждении правил землепользования и застройки Стрелицкого городского поселения Семилукского муниципального района Воронежской области"
(Зарегистрирован 12.05.2023 № 465)
Номер опубликования: 3601202305170003
Дата опубликования: 17.05.2023
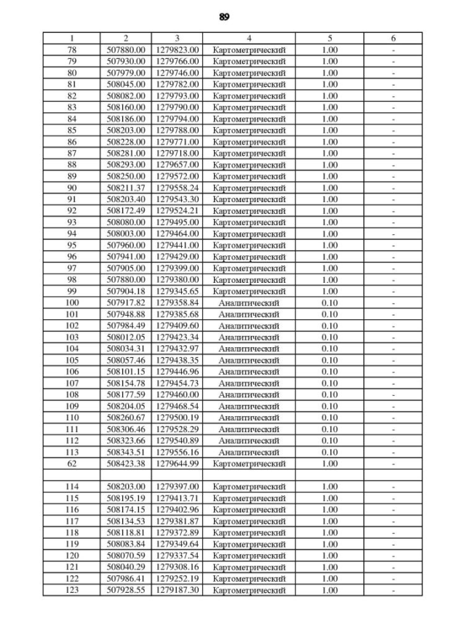
Страница №139 из 180:
Увеличить