Официальное опубликование правовых актов
ОФИЦИАЛЬНОЕ ОПУБЛИКОВАНИЕ
Приказ Департамента архитектуры и градостроительства Воронежской области от 02.05.2023 № 45-01-04/328
"О внесении изменений в правила землепользования и застройки Нижневедугского сельского поселения Семилукского муниципального района Воронежской области"
(Зарегистрирован 05.05.2023 № 458)
Номер опубликования: 3601202305050012
Дата опубликования: 05.05.2023
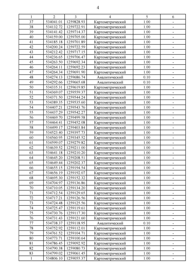
Страница №324 из 396:
Увеличить