Официальное опубликование правовых актов
ОФИЦИАЛЬНОЕ ОПУБЛИКОВАНИЕ
Приказ Департамента архитектуры и градостроительства Воронежской области от 21.04.2023 № 45-01-04/305
"О внесении изменений в правила землепользования и застройки городского округа город Нововоронеж Воронежской области"
(Зарегистрирован 02.05.2023 № 450)
Номер опубликования: 3601202305050010
Дата опубликования: 05.05.2023
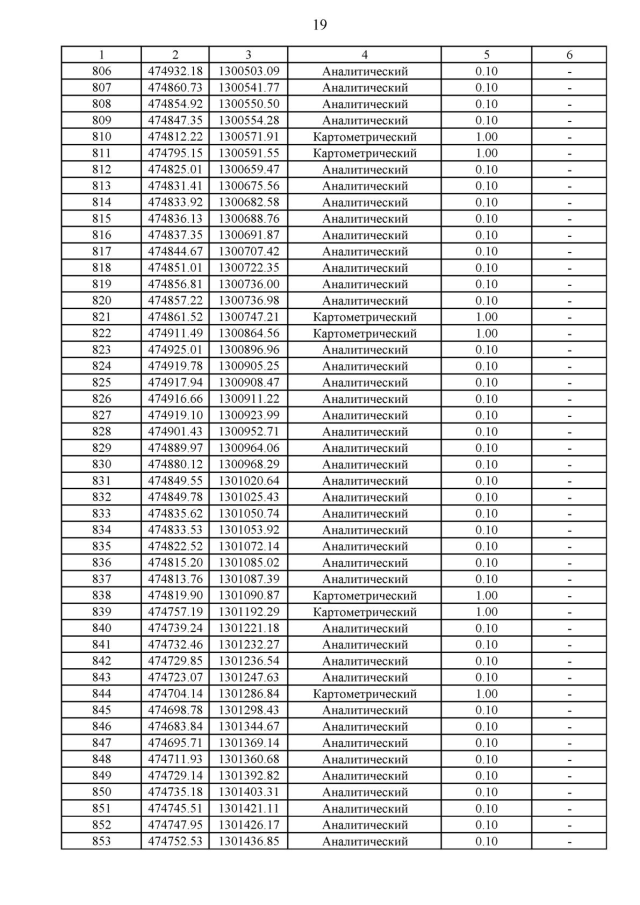
Страница №133 из 178:
Увеличить