Официальное опубликование правовых актов
ОФИЦИАЛЬНОЕ ОПУБЛИКОВАНИЕ
Приказ департамента природных ресурсов и экологии Воронежской области от 11.04.2023 № 188
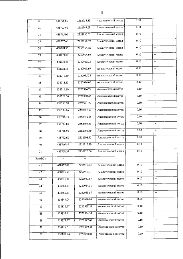
"Об установлении зон санитарной охраны четырех эксплуатационных скважин № 1, № 2, № 3, № 4 на водозаборе "Ферма 5 – Свиноводческого комплекса" (Ферма "Пыховская") для питьевого водоснабжения свиноводческого комплекса ООО "АГРОЭКО-ВОСТОК"
(Зарегистрирован 25.04.2023 № 413)
Номер опубликования: 3601202304280001
Дата опубликования: 28.04.2023
Страница №10 из 25:
Увеличить