Официальное опубликование правовых актов
ОФИЦИАЛЬНОЕ ОПУБЛИКОВАНИЕ
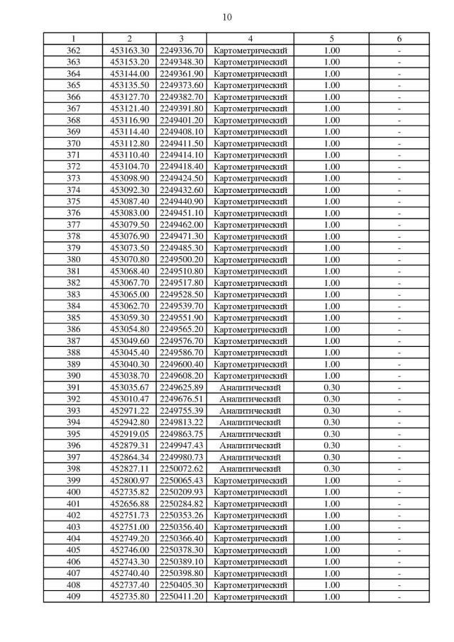
Приказ Департамента архитектуры и градостроительства Воронежской области от 14.04.2023 № 45-01-04/271
"О внесении изменений в правила землепользования и застройки Краснянского сельского поселения Новохопёрского муниципального района Воронежской области"
(Зарегистрирован 24.04.2023 № 394)
Номер опубликования: 3601202304250001
Дата опубликования: 25.04.2023
Страница №36 из 62:
Увеличить