Приказ департамента природных ресурсов и экологии Воронежской области от 05.04.2023 № 175
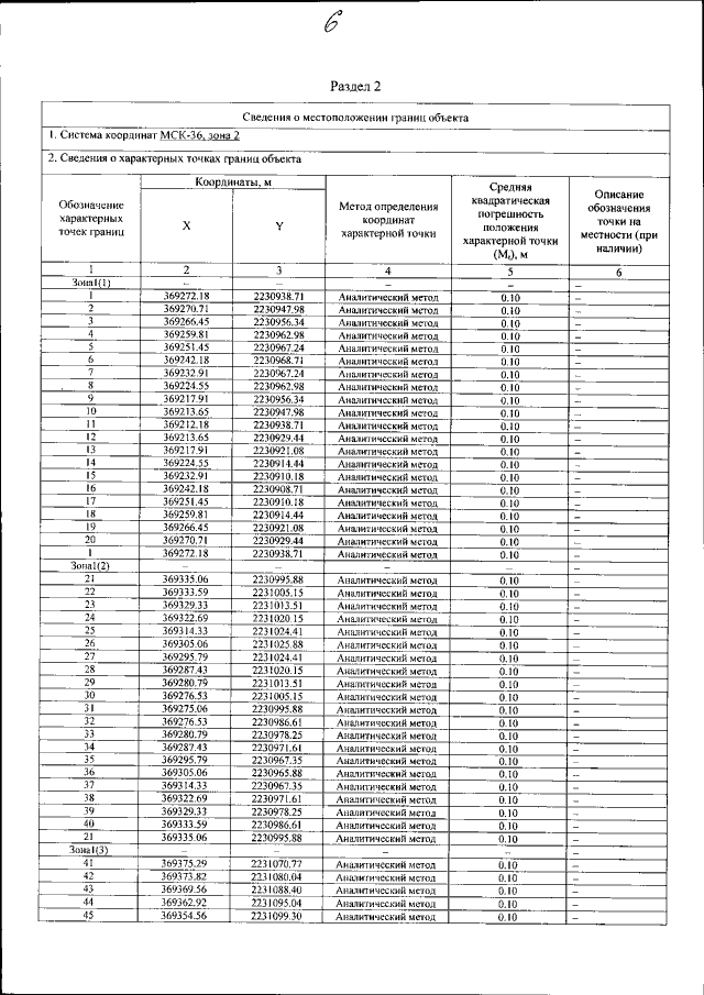
"Об установлении зон санитарной охраны трех эксплуатационных скважин № 1, 2, 3 на водозаборе "Ферма 6 – Свиноводческого комплекса" (Ферма "Колос) для питьевого водоснабжения свиноводческого комплекса ООО "АГРОЭКО-ВОСТОК""
(Зарегистрирован 14.04.2023 № 371)
"Об установлении зон санитарной охраны трех эксплуатационных скважин № 1, 2, 3 на водозаборе "Ферма 6 – Свиноводческого комплекса" (Ферма "Колос) для питьевого водоснабжения свиноводческого комплекса ООО "АГРОЭКО-ВОСТОК""
(Зарегистрирован 14.04.2023 № 371)
Номер опубликования: 3601202304200006
Дата опубликования:
20.04.2023
