Официальное опубликование правовых актов
ОФИЦИАЛЬНОЕ ОПУБЛИКОВАНИЕ
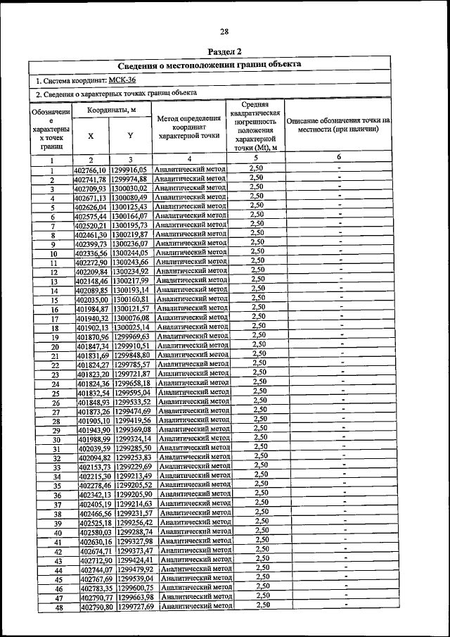
Приказ департамента природных ресурсов и экологии Воронежской области от 05.04.2023 № 174
"Об установлении зон санитарной охраны эксплуатационных скважин на водозаборах СК "Растыкайловка", СК "Тростянский" и водопроводных сооружений для питьевого, хозяйственно-бытового и технологического водоснабжения свиноводческих комплексов СК "Растыкайловка" и СК "Тростянский" предприятия ООО "Донской Бекон""
(Зарегистрирован 14.04.2023 № 370)
Номер опубликования: 3601202304200003
Дата опубликования: 20.04.2023
Страница №31 из 34:
Увеличить