Официальное опубликование правовых актов
ОФИЦИАЛЬНОЕ ОПУБЛИКОВАНИЕ
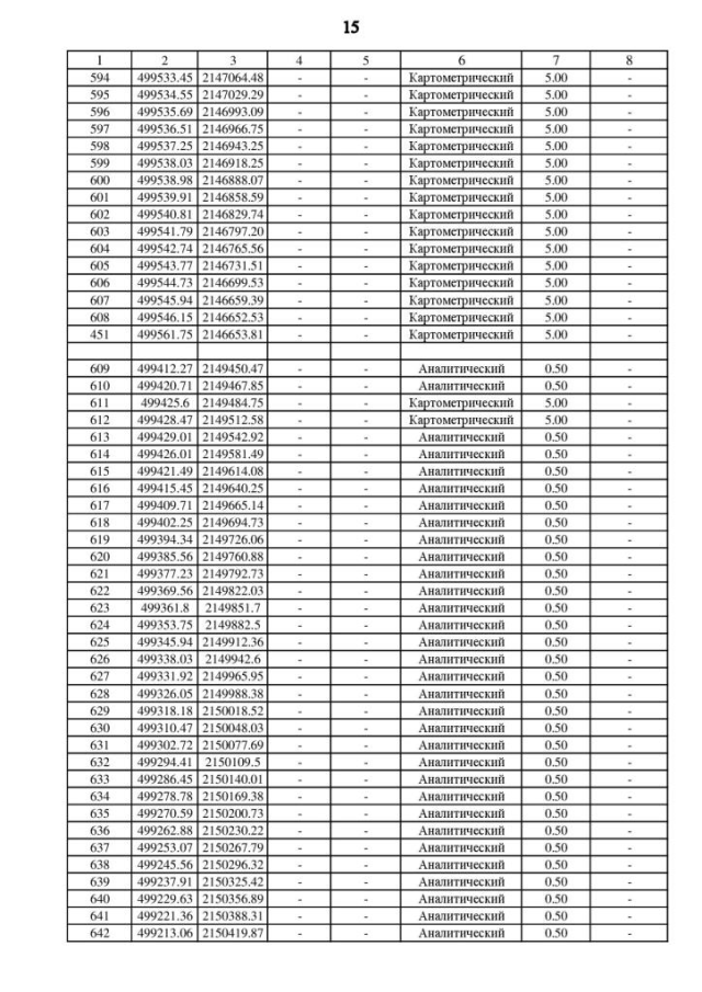
Приказ Департамента архитектуры и градостроительства Воронежской области от 12.04.2023 № 45-01-04/262
"О внесении изменений в правила землепользования и застройки Октябрьского сельского поселения Панинского муниципального района Воронежской области"
(Зарегистрирован 18.04.2023 № 379)
Номер опубликования: 3601202304190007
Дата опубликования: 19.04.2023
Страница №104 из 137:
Увеличить