Официальное опубликование правовых актов
ОФИЦИАЛЬНОЕ ОПУБЛИКОВАНИЕ
Приказ Департамента архитектуры и градостроительства Воронежской области от 12.04.2023 № 45-01-04/264
"О внесении изменений в правила землепользования и застройки Шрамовского сельского поселения Россошанского муниципального района Воронежской области"
(Зарегистрирован 18.04.2023 № 377)
Номер опубликования: 3601202304190006
Дата опубликования: 19.04.2023
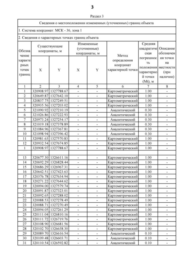
Страница №13 из 73:
Увеличить