Официальное опубликование правовых актов
ОФИЦИАЛЬНОЕ ОПУБЛИКОВАНИЕ
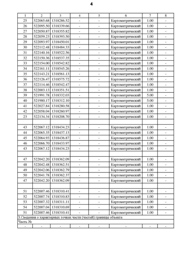
Приказ Департамента архитектуры и градостроительства Воронежской области от 13.04.2023 № 45-01-04/267
"О внесении изменений в правила землепользования и застройки Бабяковского сельского поселения Новоусманского муниципального района Воронежской области"
(Зарегистрирован 18.04.2023 № 380)
Номер опубликования: 3601202304190005
Дата опубликования: 19.04.2023
Страница №122 из 153:
Увеличить