Официальное опубликование правовых актов
ОФИЦИАЛЬНОЕ ОПУБЛИКОВАНИЕ
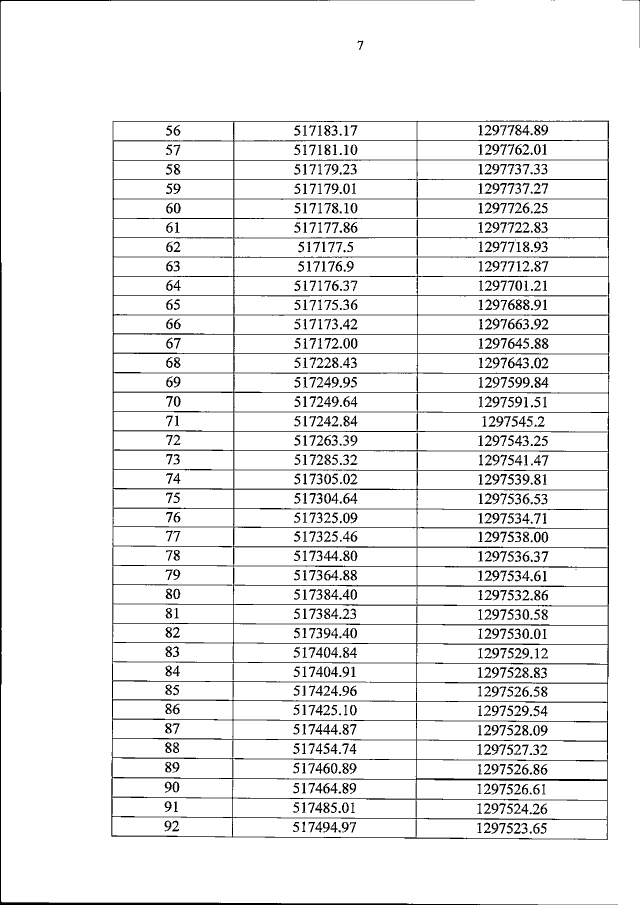
Приказ управления по охране объектов культурного наследия Воронежской области от 03.04.2023 № 71-01-07/190
"О включении выявленного объекта культурного наследия в единый государственный реестр объектов культурного наследия (памятников истории и культуры) народов Российской Федерации в качестве объекта культурного наследия регионального значения "Коминтерновский некрополь"
(Зарегистрирован 13.04.2023 № 364)
Номер опубликования: 3601202304180004
Дата опубликования: 18.04.2023
Страница №7 из 8:
Увеличить