Официальное опубликование правовых актов
ОФИЦИАЛЬНОЕ ОПУБЛИКОВАНИЕ
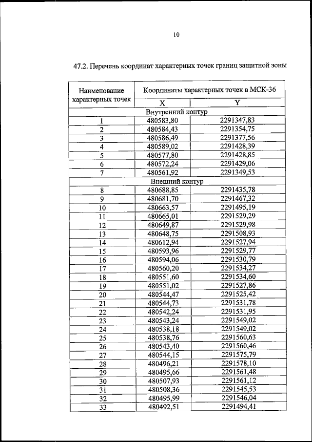
Приказ управления по охране объектов культурного наследия Воронежской области от 06.04.2023 № 71-01-07/194
"О внесении изменений в приказ управления по охране объектов культурного наследия Воронежской области от 04.12.2018 № 71-01-07/266"
(Зарегистрирован 14.04.2023 № 367)
Номер опубликования: 3601202304180003
Дата опубликования: 18.04.2023
Страница №10 из 20:
Увеличить