Официальное опубликование правовых актов
ОФИЦИАЛЬНОЕ ОПУБЛИКОВАНИЕ
Приказ Департамента архитектуры и градостроительства Воронежской области от 31.03.2023 № 45-01-04/223
"О внесении изменений в правила землепользования и застройки Александровского сельского поселения Терновского муниципального района Воронежской области"
(Зарегистрирован 10.04.2023 № 330)
Номер опубликования: 3601202304120019
Дата опубликования: 12.04.2023
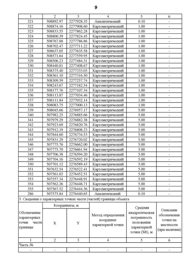
Страница №39 из 43:
Увеличить