Официальное опубликование правовых актов
ОФИЦИАЛЬНОЕ ОПУБЛИКОВАНИЕ
Приказ Департамента архитектуры и градостроительства Воронежской области от 31.03.2023 № 45-01-04/225
"О внесении изменений в правила землепользования и застройки Старочигольского сельского поселения Аннинского муниципального района Воронежской области"
(Зарегистрирован 10.04.2023 № 331)
Номер опубликования: 3601202304120015
Дата опубликования: 12.04.2023
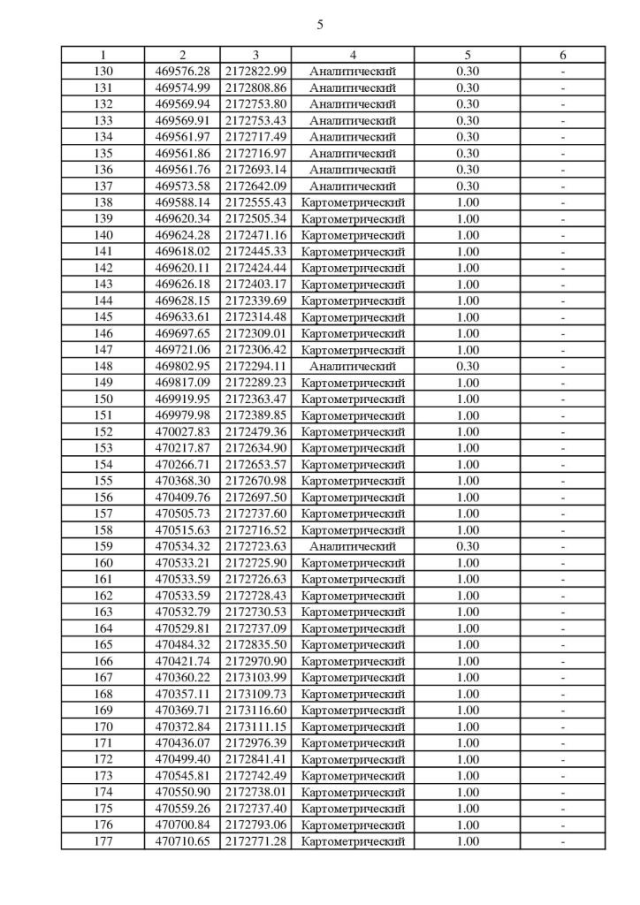
Страница №12 из 33:
Увеличить