Официальное опубликование правовых актов
ОФИЦИАЛЬНОЕ ОПУБЛИКОВАНИЕ
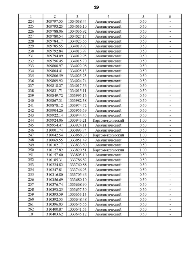
Приказ Департамента архитектуры и градостроительства Воронежской области от 29.03.2023 № 45-01-04/213
"Об утверждении правил землепользования и застройки Пасековского сельского поселения Кантемировского муниципального района Воронежской области"
(Зарегистрирован 06.04.2023 № 321)
Номер опубликования: 3601202304120007
Дата опубликования: 12.04.2023
Страница №101 из 193:
Увеличить