Официальное опубликование правовых актов
ОФИЦИАЛЬНОЕ ОПУБЛИКОВАНИЕ
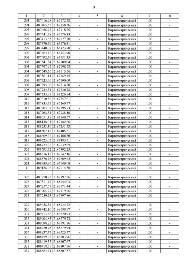
Приказ Департамента архитектуры и градостроительства Воронежской области от 24.03.2023 № 45-01-04/209
"О внесении изменений в правила землепользования и застройки Верхнетойденского сельского поселения Аннинского муниципального района Воронежской области"
(Зарегистрирован 04.04.2023 № 303)
Номер опубликования: 3601202304120003
Дата опубликования: 12.04.2023
Страница №15 из 55:
Увеличить