Официальное опубликование правовых актов
ОФИЦИАЛЬНОЕ ОПУБЛИКОВАНИЕ
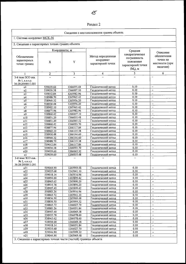
Приказ департамента природных ресурсов и экологии Воронежской области от 16.03.2023 № 125
"Об установлении зон санитарной охраны скважин №№ 1,2 ООО "ЗКЦ" для питьевого, хозяйственно-бытового и технологического водоснабжения населения и организаций с. Землянск Семилукского района Воронежской области"
(Зарегистрирован 05.04.2023 № 307)
Номер опубликования: 3601202304070008
Дата опубликования: 07.04.2023
Страница №17 из 21:
Увеличить