Официальное опубликование правовых актов
ОФИЦИАЛЬНОЕ ОПУБЛИКОВАНИЕ
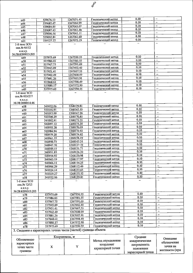
Приказ департамента природных ресурсов и экологии Воронежской области от 16.03.2023 № 126
"Об установлении зон санитарной охраны скважин №№ 66/12, 72/12, 001/263, 002/271, 003/277 ООО "ЗКЦ" для питьевого, хозяйственно-бытового и технологического водоснабжения населения и организаций с. Землянск Семилукского района Воронежской области"
(Зарегистрирован 05.04.2023 № 306)
Номер опубликования: 3601202304070007
Дата опубликования: 07.04.2023
Страница №10 из 35:
Увеличить