Официальное опубликование правовых актов
ОФИЦИАЛЬНОЕ ОПУБЛИКОВАНИЕ
Приказ департамента природных ресурсов и экологии Воронежской области от 16.03.2023 № 129
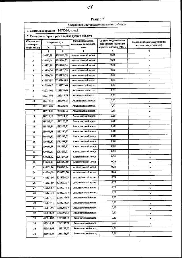
"Об установлении зон санитарной охраны двух разведочно-эксплуатационных скважин №№ 001/224 (ГВК 20212050), 002/232 (ГВК 20212051) для питьевого, хозяйственно-бытового и технического водоснабжения свиноводческого комплекса "Ольшанский" предприятия ООО "Донской Бекон"
(Зарегистрирован 23.03.2023 № 270)
Номер опубликования: 3601202303280006
Дата опубликования: 28.03.2023
Страница №13 из 22:
Увеличить