Официальное опубликование правовых актов
ОФИЦИАЛЬНОЕ ОПУБЛИКОВАНИЕ
Приказ департамента природных ресурсов и экологии Воронежской области от 16.03.2023 № 127
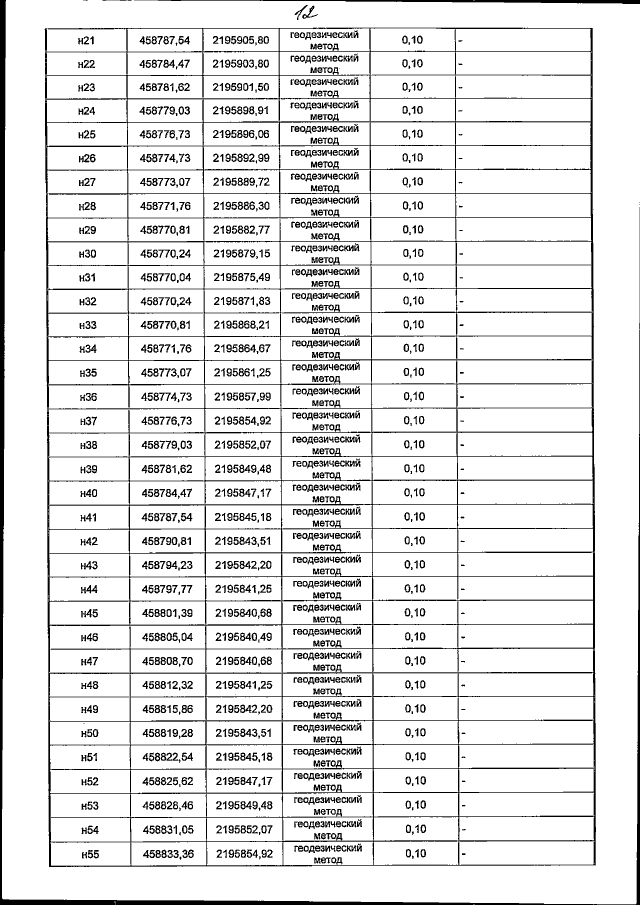
"Об установлении зон санитарной охраны существующих скважин № 1/19, № 2/20 для питьевого и хозяйственно-бытового водоснабжения муниципального унитарного предприятия Таловского городского поселения Таловского муниципального района Воронежской области "Вымпел"
(Зарегистрирован 23.03.2023 № 268)
Номер опубликования: 3601202303280005
Дата опубликования: 28.03.2023
Страница №14 из 33:
Увеличить