Официальное опубликование правовых актов
ОФИЦИАЛЬНОЕ ОПУБЛИКОВАНИЕ
Приказ департамента природных ресурсов и экологии Воронежской области от 16.03.2023 № 122
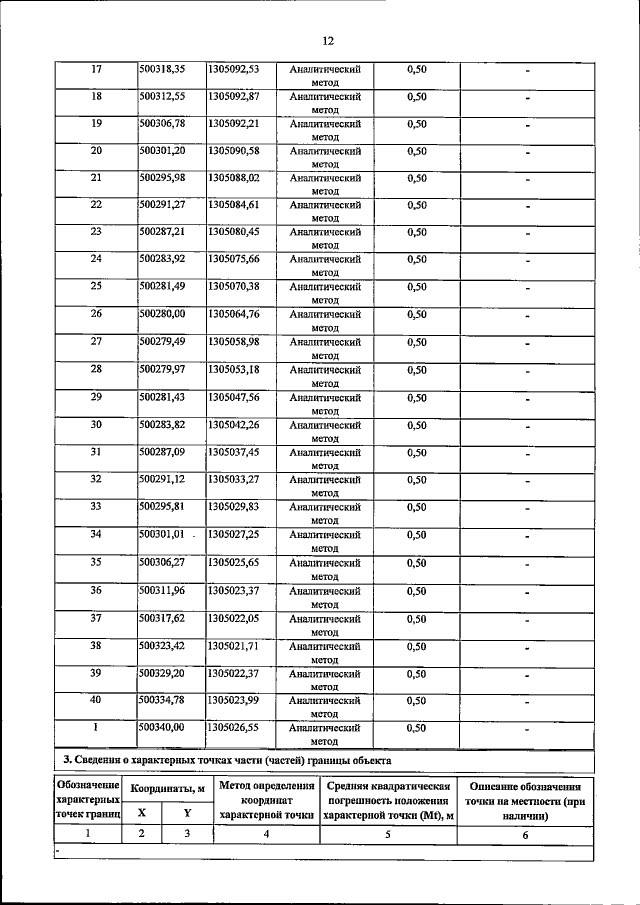
"Об установлении зон санитарной охраны двух эксплуатационных скважин № № 1, 2 на питьевые, хозяйственно-бытовые и технологические нужды предприятия АО "АРХБУМ"
(Зарегистрирован 23.03.2023 № 266)
Номер опубликования: 3601202303280004
Дата опубликования: 28.03.2023
Страница №14 из 22:
Увеличить