Официальное опубликование правовых актов
ОФИЦИАЛЬНОЕ ОПУБЛИКОВАНИЕ
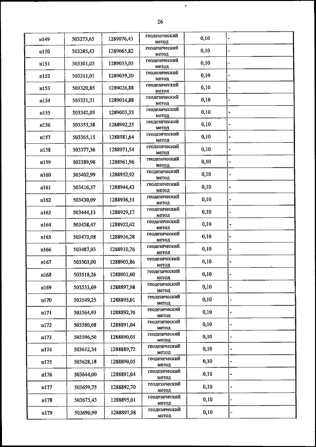
Приказ департамента природных ресурсов и экологии Воронежской области от 16.03.2023 № 123
"Об установлении зон санитарной охраны трех скважин №№ 15/93/2, 16/93/1, 17/93/3, существующего водозабора с водопроводными сооружениями для питьевых и хозяйственно-бытовых нужд ПЖСК "Надежда-90" офицеров МО РФ"
(Зарегистрирован 23.03.2023 № 267)
Номер опубликования: 3601202303280003
Дата опубликования: 28.03.2023
Страница №28 из 32:
Увеличить