Официальное опубликование правовых актов
ОФИЦИАЛЬНОЕ ОПУБЛИКОВАНИЕ
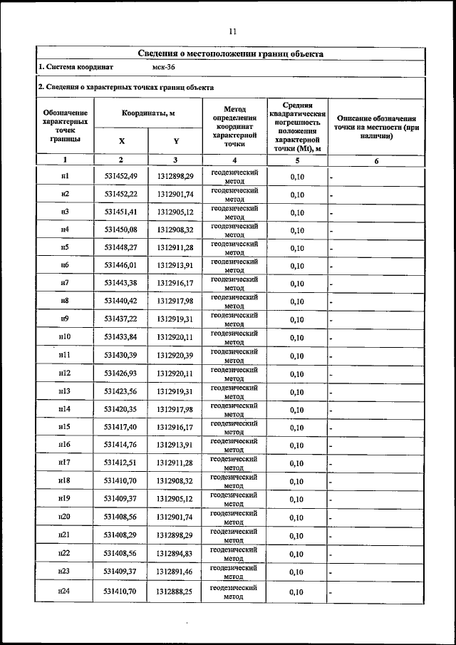
Приказ департамента природных ресурсов и экологии Воронежской области от 16.03.2023 № 121
"Об установлении зон санитарной охраны скважины №б/н для питьевого, хозяйственно-бытового водоснабжения Загородного клуба "Елки" ООО "ПромПроект"
(Зарегистрирован 23.03.2023 № 265)
Номер опубликования: 3601202303280002
Дата опубликования: 28.03.2023
Страница №13 из 23:
Увеличить