Официальное опубликование правовых актов
ОФИЦИАЛЬНОЕ ОПУБЛИКОВАНИЕ
Приказ Департамента архитектуры и градостроительства Воронежской области от 15.03.2023 № 45-01-04/172
"О внесении изменений в правила землепользования и застройки Терновского сельского поселения Новохопёрского муниципального района Воронежской области"
(Зарегистрирован 24.03.2023 № 277)
Номер опубликования: 3601202303270008
Дата опубликования: 27.03.2023
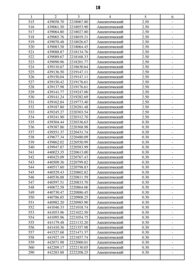
Страница №153 из 177:
Увеличить