Официальное опубликование правовых актов
ОФИЦИАЛЬНОЕ ОПУБЛИКОВАНИЕ
Приказ Департамента архитектуры и градостроительства Воронежской области от 16.03.2023 № 45-01-04/176
"О внесении изменений в правила землепользования и застройки Тхоревского сельского поселения Каменского муниципального района Воронежской области"
(Зарегистрирован 24.03.2023 № 280)
Номер опубликования: 3601202303270007
Дата опубликования: 27.03.2023
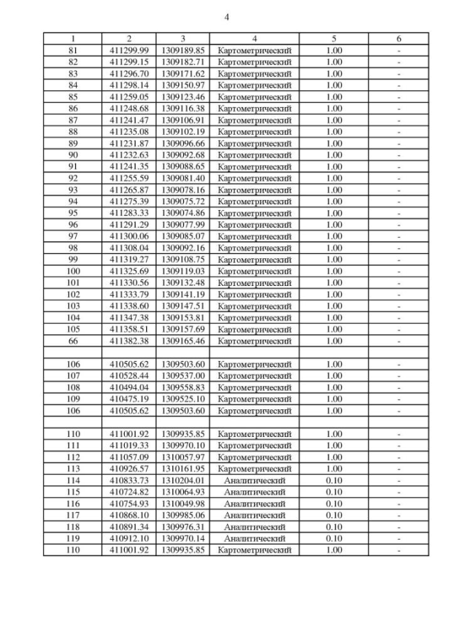
Страница №13 из 16:
Увеличить