Официальное опубликование правовых актов
ОФИЦИАЛЬНОЕ ОПУБЛИКОВАНИЕ
Приказ Департамента архитектуры и градостроительства Воронежской области от 15.03.2023 № 45-01-04/174
"О внесении изменений в правила землепользования и застройки Елизаветовского сельского поселения Павловского муниципального района Воронежской области"
(Зарегистрирован 24.03.2023 № 279)
Номер опубликования: 3601202303270004
Дата опубликования: 27.03.2023
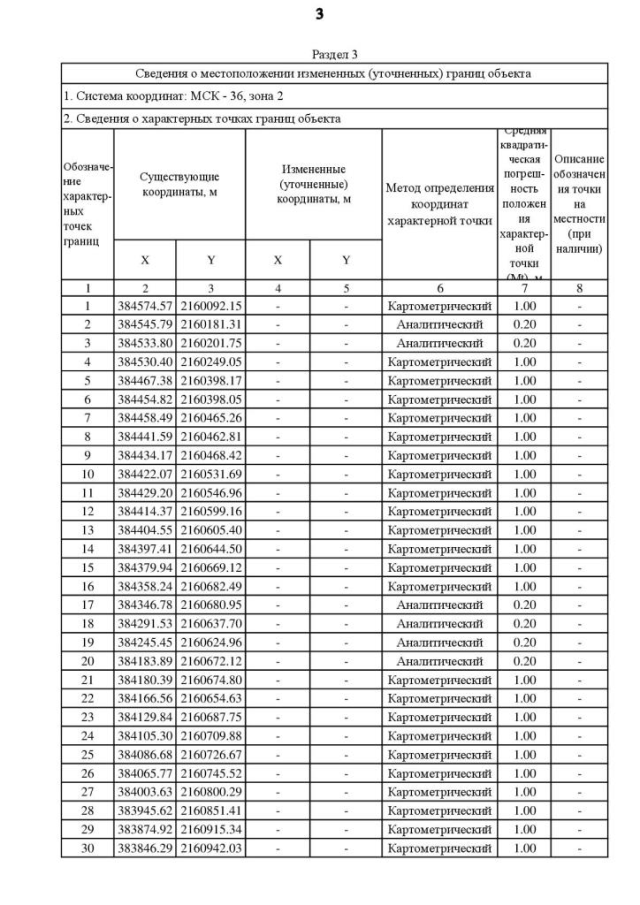
Страница №15 из 18:
Увеличить