Официальное опубликование правовых актов
ОФИЦИАЛЬНОЕ ОПУБЛИКОВАНИЕ
Приказ Департамента архитектуры и градостроительства Воронежской области от 13.03.2023 № 45-01-04/169
"О внесении изменений в правила землепользования и застройки Юдановского сельского поселения Бобровского муниципального района Воронежской области"
(Зарегистрирован 23.03.2023 № 273)
Номер опубликования: 3601202303240020
Дата опубликования: 24.03.2023
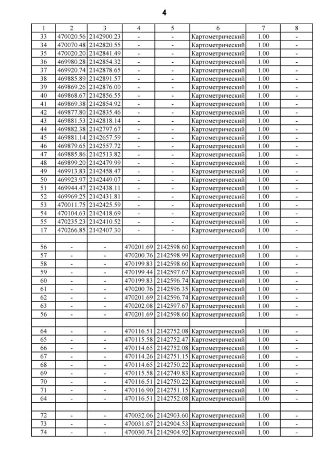
Страница №44 из 79:
Увеличить