Официальное опубликование правовых актов
ОФИЦИАЛЬНОЕ ОПУБЛИКОВАНИЕ
Приказ Департамента архитектуры и градостроительства Воронежской области от 15.03.2023 № 45-01-04/175
"О внесении изменений в правила землепользования и застройки городского поселения – город Павловск Павловского муниципального района Воронежской области"
(Зарегистрирован 23.03.2023 № 272)
Номер опубликования: 3601202303240019
Дата опубликования: 24.03.2023
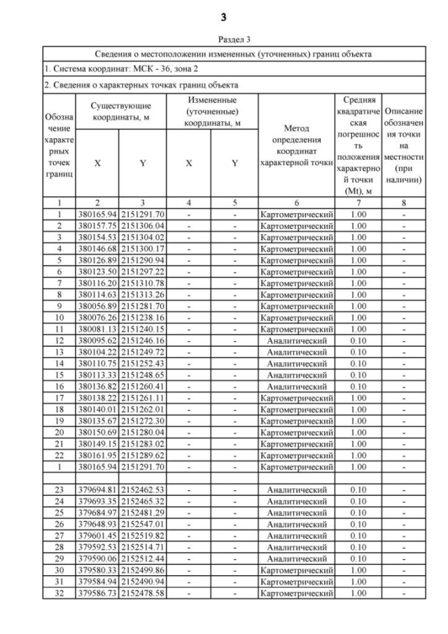
Страница №50 из 58:
Увеличить