Официальное опубликование правовых актов
ОФИЦИАЛЬНОЕ ОПУБЛИКОВАНИЕ
Приказ Департамента архитектуры и градостроительства Воронежской области от 15.03.2023 № 45-01-04/173
"О внесении изменений в правила землепользования и застройки Лосевского сельского поселения Павловского муниципального района Воронежской области"
(Зарегистрирован 23.03.2023 № 271)
Номер опубликования: 3601202303240017
Дата опубликования: 24.03.2023
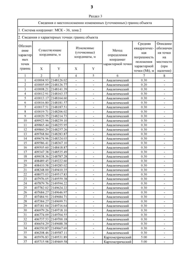
Страница №73 из 110:
Увеличить