Официальное опубликование правовых актов
ОФИЦИАЛЬНОЕ ОПУБЛИКОВАНИЕ
Приказ Департамента архитектуры и градостроительства Воронежской области от 13.03.2023 № 45-01-04/167
"Об утверждении правил землепользования и застройки Россошанского сельского поселения Репьёвского муниципального района Воронежской области"
(Зарегистрирован 21.03.2023 № 251)
Номер опубликования: 3601202303240014
Дата опубликования: 24.03.2023
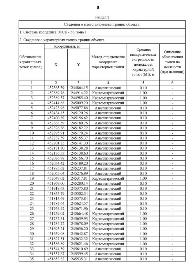
Страница №211 из 284:
Увеличить