Официальное опубликование правовых актов
ОФИЦИАЛЬНОЕ ОПУБЛИКОВАНИЕ
Приказ Департамента архитектуры и градостроительства Воронежской области от 13.03.2023 № 45-01-04/168
"О внесении изменений в правила землепользования и застройки Коленовского сельского поселения Новохопёрского муниципального района Воронежской области"
(Зарегистрирован 20.03.2023 № 235)
Номер опубликования: 3601202303240013
Дата опубликования: 24.03.2023
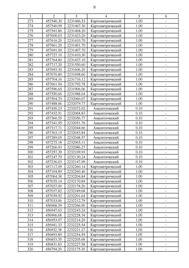
Страница №52 из 472:
Увеличить