Официальное опубликование правовых актов
ОФИЦИАЛЬНОЕ ОПУБЛИКОВАНИЕ
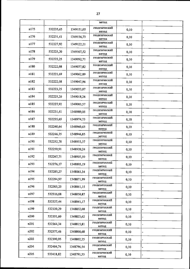
Приказ департамента природных ресурсов и экологии Воронежской области от 07.03.2023 № 113
"Об установлении зон санитарной охраны двух существующих скважин №№ 10446, б/н для питьевого, хозяйственно-бытового водоснабжения населения МКП ВСП "ХАВАТЕПЛОСБЫТ"
(Зарегистрирован 15.03.2023 № 207)
Номер опубликования: 3601202303200005
Дата опубликования: 20.03.2023
Страница №29 из 34:
Увеличить