Официальное опубликование правовых актов
ОФИЦИАЛЬНОЕ ОПУБЛИКОВАНИЕ
Приказ департамента природных ресурсов и экологии Воронежской области от 07.03.2023 № 112
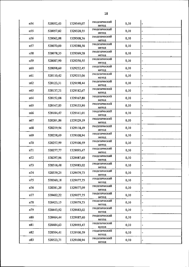
"Об установлении зон санитарной охраны действующей скважины № 10398 для питьевого, хозяйственно-бытового водоснабжения МУП "Водник"
(Зарегистрирован 15.03.2023 № 206)
Номер опубликования: 3601202303200001
Дата опубликования: 20.03.2023
Страница №20 из 23:
Увеличить