Официальное опубликование правовых актов
ОФИЦИАЛЬНОЕ ОПУБЛИКОВАНИЕ
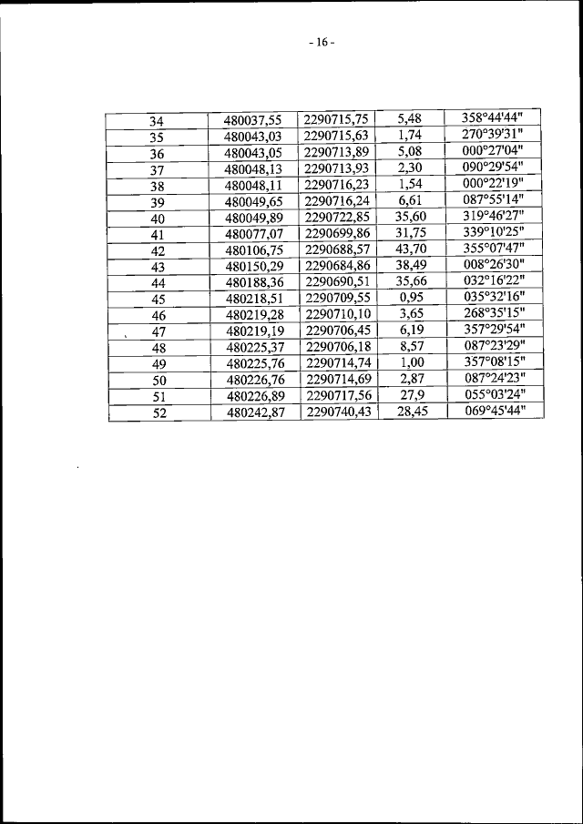
Приказ управления по охране объектов культурного наследия Воронежской области от 22.02.2023 № 71-01-07/98
"О внесении изменений в приказ управления по охране объектов культурного наследия Воронежской области от 29.04.2019 № 71-01-07/115"
(Зарегистрирован 10.03.2023 № 179)
Номер опубликования: 3601202303150002
Дата опубликования: 15.03.2023
Страница №16 из 50:
Увеличить