Официальное опубликование правовых актов
ОФИЦИАЛЬНОЕ ОПУБЛИКОВАНИЕ
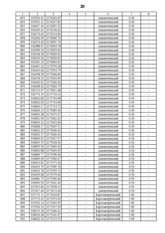
Приказ Департамента архитектуры и градостроительства Воронежской области от 20.02.2023 № 45-01-04/105
"О внесении изменений в правила землепользования и застройки Осетровского сельского поселения Верхнемамонского муниципального района Воронежской области"
(Зарегистрирован 22.02.2023 № 147)
Номер опубликования: 3601202302270001
Дата опубликования: 27.02.2023
Страница №35 из 42:
Увеличить